CHEMICAL COMPOSITIONS OF FIELD DISK STARS
HOME | TEACHING | HALOSTARS | DISKSTARS | LABDATA | MOOG | SPECTRE | MISC


Chris Sneden

A unique drawing of the Milky Way: This was produced in 1955 at Lund Observatory by Knut Lundmark and colleagues (copyright: Lund Observatory). Click on picture to see larger image



Red Horizontal-Branch Stars in the Galactic Disk

Horizontal-branch (HB) stars are relatively low-mass objects that are fusing helium quiescently in their cores. They have arrived on HB usually after experiencing the He-flash at the end of their first ascent of the red-giant branch. Metal-rich, Population I HB stars occupy a small domain in HR Diagram (Teff ~ 4900K, MV ~ 1) called the red clump. More metal-poor lower-mass thick disk and halo stars lie on the HB at roughly the same absolute magnitude but with temperatures than can range from T~5000K to T>15000K, depending on their masses and metallicities. Such stars are labeled red HB (RHB), variable RR Lyr, blue HB (BHB) and extreme blue HB (EBHB) as their temperatures.

Recently Melike Afşar and her group at Ege University's Department of Astronomy and Space Sciences have been collaborating with me in a spectroscopic investigation of purported RHB stars in the field. We wanted to know why there appear to be so many of them that are relatively bright. If they are all thick disk stars they should be few in number. In our first study, we identified 18 true field RHB stars. Surprisingly however, 13 of these stars are members of the high-metallicity thin-disk population, contrary to our expectations that all would be thick-disk, modereately metal-poor stars.
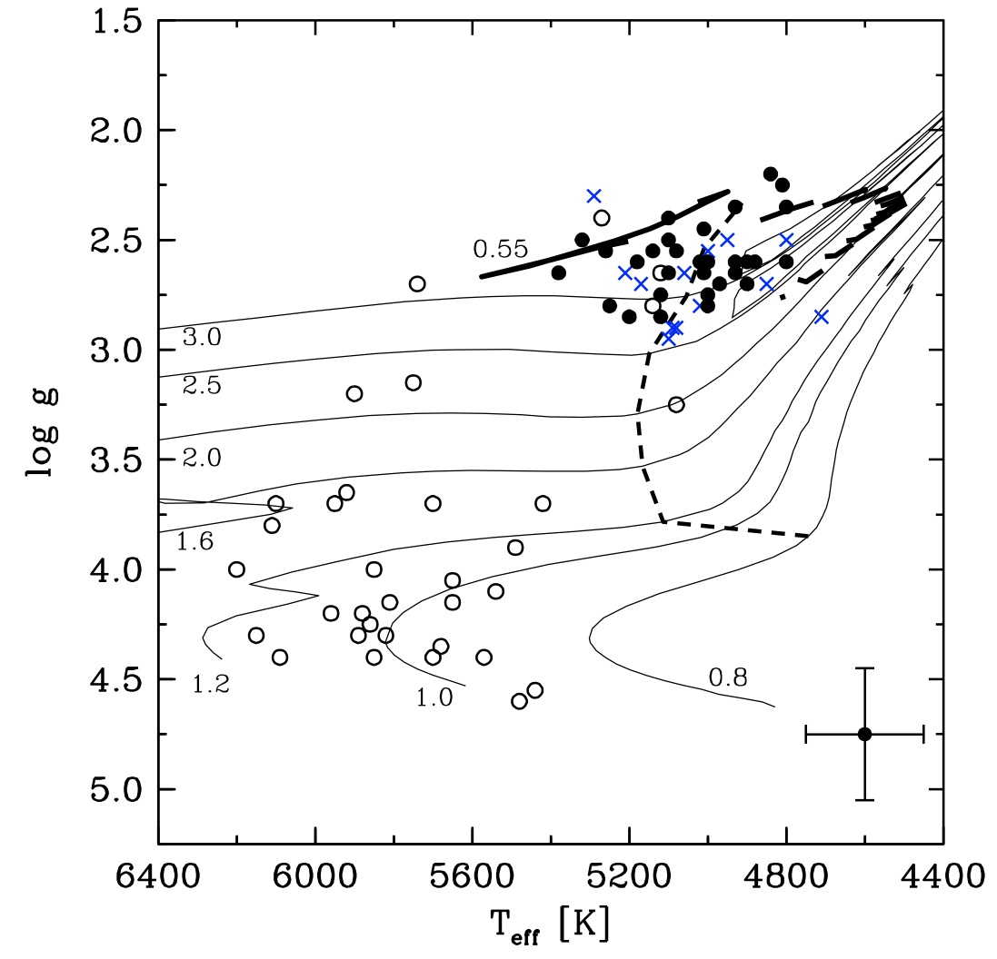
Chris Sneden


Evolutionary states of our program stars are shown on the spectroscopic log g-Teff diagram. Stars with 12C/13C ≤ 20, 20 ≤ 12C/13C ≤30 and 12C/13C > 30 (no detection) are shown by filled circles, (blue) crosses and open circles, respectively. (Fig 13 from Afşar et al. 2012). Click on picture to see larger image
Our contributions to this area of research concentrate on the chemical compositions of the RHB candidate stars. We derive metallicities, abundance ratios for the light α and n-capture elemnets, but focus especially on the evolutionary-sensitive CNO group. The most obvious chemical signature of an evolved star that has undergone interior hydrogen fusion and convective envelope mixing of its products to the stellar surface is a low 12C/13C. An example of this is given in this figure:
Chris Sneden


Comparison of synthetic and observed spectrum of an RHB star for 13CN features around 8004A. The fit is illustrated by a red solid line for 12C/13C = 9. (Fig 9 from Afşar et al. 2012). Click on picture to see larger image
We are expanding our survey to obvserve hundreds of RHB candidates, hoping to discriminate better between stellar population effects and interior evolutionary effects in RHB stars.



Acknowledgments

All of the research described here has resulted from the collective efforts of large numbers of people, including my current and former students, and investigators at many astronomical institutions around the world. Their contributions are gratefully acknowledged. For many years I have benefited from grants by the U.S. National Science Foundation and the National Aeronautics and Space Administration. Their support has been crucial to my research.


HOME | TEACHING | HALOSTARS | DISKSTARS | LABDATA | MOOG | SPECTRE | MISC